Parent-Teacher Association (PTA)
Donate Now!

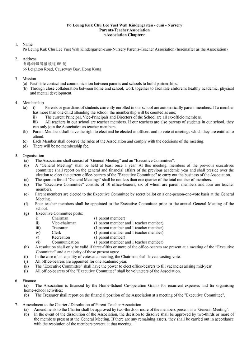
2024/2025 Constitution of PTA
家教會會章_page-0001.jpg)
Members of PTA Committee
2024-2025年度委員名單
Highlights of PTA
2023-2024Year “Low-Salt, Low-Sugar” Parent-Child Cooking Workshop

2023-2024Year Christmas Parent-child Fun Day

2023-2024Year Parent Storytelling
2023-2024Year Parents-Teacher Association